Radiation and heat transfer in water, snow and ice

What makes liquid and water surfaces so different?

CA-DBB station after a significant snowfall event

Today’s learning objectives

Explain what makes snow and water different compared to most other surface-atmosphere interfaces.

  • Describe the transmission, absorption and reflection of radiation in water and snow.
  • Describe how we can define the energy budget of a snow-pack or water body.

Snowmelt at Wedgemont Lake, BC

Properties of snow and water surfaces?

Thermal Properties of Water

Figure 1: For a given amount of energy input (J), higher heat capacity means a volume of a substance will warm more slowly; higher thermal admittance means a surface will warm less

Treating Snow and Water as Volume Interfaces

In contrast to opaque land surfaces, land-atmosphere interfaces of liquid and solid water transmit radiation into lower layers.

  • This means we must know the transmission (and absorption, reflection and emission) of radiation in those media in order to predict energy exchange.
  • As a consequence, we must treat water, snow and ice ‘surfaces’ as 3D-volume interfaces.

Transmission of short-wave radiation through a glacier (Photo: USGS Webpage)

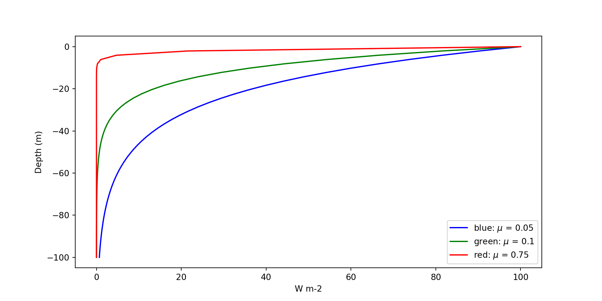
Beer’s Law

Describes the reduction in flux density of a parallel beam of monochromatic (single wavelength) radiation through a homogeneous medium.

\[ R_z = R_0 e^{-z\mu} \qquad(1)\]

  • Assuming that absorptivity (and hence transmissivity) are constant:
    • Radiative flux density decays exponentially with depth
      • \(\mu\) is the attenuation coefficient, not thermal admittance

Attenuation Coefficient

The constant of proportionality \(\mu\) is called attenuation coefficient (m-1). It depends on:

  • Wavelength
  • Nature of the medium
  • Impurities (i.e. algae, plankton, chemicals)

Attenuation Coefficient (iClicker)

Which line (A or B) has a higher attenuation coefficient?

Figure 2: Beam attenuation as a function of z and \(\mu\)

Why is water blue?

Not only an overall reduction of the radiative flux density but also a shift in the maximum wavelength towards blue.

  • \(\mu\) of water depends strongly on wavelength \(\lambda\). Absorption is very high in near infrared (NIR, 0.7 to 3 \(\mu m\)), and lowers in the visible range (0.4 to 0.7 \(\mu m\)).

Attenuation in Water

Figure 3: Beam attenuation as a function of depth in liquid water for selected wavelenghts of visible light

Liquid vs. Solid

The liquid and solid state of water have similar attenuation coefficients (with some exceptions).

  • We can use Beer’s law to describe the decay of radiation with depth z in water bodies, snow or ice for different wavelengths.

Exhaust plume from Amundsen-Scott South Pole Station stratifies into the very stable layer (Photo: J. Dana Hrube)

Spectral Transmittance of Ice

Effect of Impurities: Warren et al (2006)

Ice has high transmissivity in the UV-A and blue visible wavelengths and decreasing transmissivity in the red part of the visible spectrum.

Measuring transmission (Photo: Website U of Washington / Atmos Sci)

How Does this Effect the Surface Energy Balance?

Photo: A. Christen

Radiation Balance of Snow and Ice

One of the most important characteristics of snow and ice is their high albedo

Radiation Balance of Snow and Ice: Antarctica

Net-radiation in snow and ice

  • We can calculate net radiation \(R_n(z)\) for each depth layer.
  • In snow, long-wave radiation is relatively quickly absorbed, but short-wave radiation is less reduced with depth. Also long-wave emission to the atmosphere is limited to a shallow layer.
  • During daytime, net radiation \(R_n(z)\) in a certain layer is the sum of short-wave \(SW^*_z\) and long wave \(LW^*_z\) in this layer.

Snow Temperature Profiles

  • Due to the difference in radiative absorption of the long-wave and the short-wave radiation, daytime net radiation \(R_n\) is greatest just below the surface, creating a subsurface temperature maximum.
  • If \(R_n\) dominates the melting process, this subsurface layer shows first snow-melting → ‘loose’ or ‘hollow’ character of a melting snow pack.

T.R. Oke (1987): ‘Boundary Layer Climates’ 2nd Edition.

Photo: Joe Shea (UBC Geography)

The energy balance of snow and ice

Beside the 3D framework, also the phase changes of water play an important role in the energy balance of a snow and ice volumes.

Photo: A. Christen

The energy balance of snow and ice

Beside the 3-d framework, also the phase changes of water play an important role in the energy balance of a snow and ice volumes.

  • Phase changes of water are accounted by a special term in the energy balance, \(\Delta M\); the energy flux density associated with latent heat of fusion (freezing/melting)
    • Lf = 0.334 MJ kg-1 at 0ºC

\[ \color{orange}{R_n} = \color{red}{H} + \color{blue}{LE} + \color{green}{\Delta S} + \color{grey}{\Delta M} \qquad(2)\]

The State of a Snow Pack

‘Cold’ snow pack

TS well below 0ºC. Only solid state of water. No water available for LE or \(\Delta M\).

‘Wet’ snow pack

TS at 0ºC and often isothermal. Both solid and liquid state of water makes LE or \(\Delta M\) important. \(H_r\) is the heat input by rain (i.e. TR > TS)

Energy Balance Melting Snow

Albedo of a water surface

Albedo of a water surface

Albedo of liquid water strongly depends on the angle at which the direct solar beam hits the water surface.

T.R. Oke (1987): ‘Boundary Layer Climates’ 2nd Edition.

Specular and Diffuse Reflection

Specular: beam reflected at same angle (like mirror)

Diffuse: beam diffused isotropically (Lambertian)

Albedo of a Water (iClicker)

A smooth water surface will under clear (cloud-free) skies will have the highest albedo at:

  • Noon
  • Sunset
  • Midnight
  • All of the above

Influence of waves on albedo

Radiation Balance of Open Water

Radiation Balance of Open Water

Open water surfaces (rivers, lakes, oceans) have the unique feature compared to land surfaces, that turbulent exchange is important on both sides, the atmosphere and the hydrosphere.

  • Similar to air, turbulent exchange is much more efficient than molecular heat conduction in water.
  • Further advective energy flux densities (ΔQA) are almost all the time significant.

T.R. Oke (1987): ‘Boundary Layer Climates’ 2nd Edition.

Take home points

  • Beer’s law describes the transmission of radiation through a medium (snow, water) at a given wavelength. attenuation Coefficient \(\mu\) for water is changing from low (VIS, blue) to high (NIR).
  • Radiation balance of a snow pack volume can cause \(R_n\) maximum below surface, and hence subsurface temperature maximum that causes melting and ‘hollow’ snow pack.
  • The energy balance for a snow-pack or ice volume needs to consider the latent heat of fusion. Depending on snow/ice temperature we distinguish between dry ‘cold’ and melting ‘warm’ snowpacks.